智財運維中心
智財運維中心
有興趣歡迎與我們聯繫
洽商連結:https://forms.gle/ZAFP5h51TbYo7hWE9
馬偕紀念醫院專利清單
017-利用牛樟芝萃取物去氫硫色多孔酸菌以抑制腫瘤細胞生長之用途
094-Method and device for restricting blood flow
110-Device and method thereof for measuring blood oxygen level and detecting brain hematoma
147-Short synthetic peptide and uses thereof
154-Intraluminal therapy system for gastrointestinal infections
166-METHODS OF DIAGNOSING AND TREATING HEPATOCELLULAR CARCINOMA
184-Formulation comprising extracellular vesicles, method for producing the same, and uses thereof
190-短合成胜肽及其治療視網膜退化性疾病和/或組織損傷的用途
208-金奈米團簇於治療高膽固醇血症或與高膽固醇血症相關之疾病的用途
225-以腸道微菌叢及其組合作為肝癌生物標幟物與進行檢測之方法
243-藉由乳房X光攝影影像運用機器學習進行自動偵測乳癌病灶之方法
244-建立識別荷爾蒙受體狀態模型的方法、測定荷爾蒙受體狀態的方法及系統
249-使用金奈米團簇來治療及/或預防淋巴管新生相關疾病的方法
254-建立用以檢測周邊動脈疾病之模型及藉助此模型檢測周邊動脈疾病的方法
256-基於深度學習預測壓印細胞抹片影像中癌化區域的方法與系統及電腦可讀取記錄媒體
267-開發新穎方便定量檢測富含甘露糖的寡醣類之方法及其應用
017-利用牛樟芝萃取物去氫硫色多孔酸菌以抑制腫瘤細胞生長之用途
發明人:陳裕仁、周正仁、張東柱
證書號: I363631(中華民國)、US7994158 B2(美國)
專利介紹
牛樟芝(Antrodia cinnamomea),屬於非褶菌目、多孔科之多年生蕈菌類,別名樟菇、紅樟或紅樟芝等,為台灣本土特有藥用真菌,其係腐生於唯一宿主牛樟樹(Cinnamomum kanehirae)之中空樹幹內壁。
我們從牛樟芝中萃取出一化合物MMH01,其化學名稱為24-methylenelanosta-7,9(11)-diene-3β,15α-diol-21-oic acid,又名去氫硫色多孔酸菌,發現去氫硫色多孔酸菌可以抑制胰臟癌細胞株BxPC3細胞生長及誘導細胞凋亡,在白血病中,透過細胞凋亡及有絲分裂風暴可以抑制白血病細胞株U937細胞生長。去氫硫色多孔酸菌可以抑制腫瘤細胞生長,並可進一步應用在醫學或藥學,以增加癌症治療效果。
專利特色
本產品發現從牛樟芝萃取物所得到化合物去氫硫色多孔酸菌可以抑制腫瘤細胞生長,特別是白血病及胰臟癌,去氫硫色多孔酸菌可發展成藥物來抑制白血病及胰臟癌細胞生長。

有興趣歡迎與我們聯繫
洽商連結:https://forms.gle/ZAFP5h51TbYo7hWE9
發明人:陳裕仁、廖慧芬
證書號: I406658(中華民國)、US8,691,870 B2(美國)
專利介紹
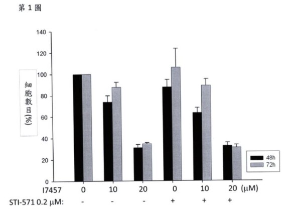
發現異硫氰酸酯類化合物,特別是經由山葵(Wasabiajaponica MATSUM)中分離出來之一種異硫氰酸酯及其衍生物I7457及I7557,分別具有可透過使至少45%的癌細胞生長停滯在G2/M 週期而達到延緩癌細胞生長的目的。經上述實驗結果發現本化合物極可能可作為治療癌症(包括具抗藥性之癌症)之醫療性藥劑的先導化合物。
此兩種異硫氰酸酯類化合物I7457及I7557乃為包含有可輕易鑑別之異硫氰酸根(-NCS-)基團的化合物,並且可從植物、種子或植物萃出物中分離出本發明之異硫氰酸酯。
特色優勢
1.此內容是有關於硫氰酸酯類化合物的新穎用途,其可用來製造能治療癌症的醫藥品或藥學組合物。
2.自山葵分離出的6-甲基亞磺醯己基異硫氰酸酯(6-methylsulfinylhexyl isothiocyanate,I7457)和它的衍生物,6-甲基磺醯己基異硫氰酸酯(6-methylsulfonylhexyl isothiocyanate,I7557)和它的衍生物可以抑制胰臟癌、慢性骨髓白血病、非小細胞肺癌及食道癌細胞之生長。
3.此類化合物可應用於治療上述具有抗藥性或是對目前化學藥物治療不敏感之癌症的藥物組合。

有興趣歡迎與我們聯繫
洽商連結:https://forms.gle/ZAFP5h51TbYo7hWE9
094-Method and device for restricting blood flow
110-Device and method thereof for measuring blood oxygen level and detecting brain hematoma
147-Short synthetic peptide and uses thereof
154-Intraluminal therapy system for gastrointestinal infections
166-METHODS OF DIAGNOSING AND TREATING HEPATOCELLULAR CARCINOMA
184-Formulation comprising extracellular vesicles, method for producing the same, and uses thereof
190-短合成胜肽及其治療視網膜退化性疾病和/或組織損傷的用途
208-金奈米團簇於治療高膽固醇血症或與高膽固醇血症相關之疾病的用途
225-以腸道微菌叢及其組合作為肝癌生物標幟物與進行檢測之方法
243-藉由乳房X光攝影影像運用機器學習進行自動偵測乳癌病灶之方法
244-建立識別荷爾蒙受體狀態模型的方法、測定荷爾蒙受體狀態的方法及系統
249-使用金奈米團簇來治療及/或預防淋巴管新生相關疾病的方法
254-建立用以檢測周邊動脈疾病之模型及藉助此模型檢測周邊動脈疾病的方法
256-基於深度學習預測壓印細胞抹片影像中癌化區域的方法與系統及電腦可讀取記錄媒體
267-開發新穎方便定量檢測富含甘露糖的寡醣類之方法及其應用
287-Single-Dose Intracranial AAV9 Gene Therapy Achieve Dual CNS-PNS Long-Term Correction in Globoid Cell Leukodystrophy

